Intermediate Representation - 中间表示 (IR)
Compiler and Static Analysis
下图给出了编译器Compiler将源代码转换为机器码的具体过程,以及静态分析Static Analysis所在位置

(1) 首先利用词法分析器Lexical Analysis Scanner,结合正则表达式,将Source Code转换成Tokens
(2) 然后利用语法分析器Syntax Analysis Parser,结合上下文无关法Context-Free Grammar解析为AST (Abstract Syntax Tree)抽象语法树
(3) 接着利用语意分析器Semantic Analysis Type Checker,结合属性文法Attribute Grammar,将AST解析为Decorated AST,比如图中给出的例子,Apples eat you,符合主谓宾,即符合语法,通过了语法检测,但是存在语义问题,因为苹果apples是不可能发出吃eat这个动作的。
但在编译器的角度,更多的是做简单的语意检查,比如类型检查Type Checker,比如用一个String类型的值除以一个int类型的值,这种类型错误等等
(4) 若这个编译器还要做后续的优化,会通过转换器Translator转换成中间表示形式,即IR(三地址码),并基于IR进行静态分析
(5) 最后通过Code Generator将IR转换为Machine Code
AST vs IR

为什么IR更适合被用于静态分析
(1) AST更接近语法结构,而IR更底层更接近于机器码Machine Code
(2) AST需要依赖于编程语言,IR不需要,不同的编程语言可以被统一转换为IR
(3) 相比于AST,IR中包含控制流信息,在AST中,我们知道这是一个循环是因为头节点的do-while关键字,而在IR中,通过if t1 < v goto 1可以很容易知道这是一个循环
3-Address Code (3AC)

一些常用的3AC的写法如下图所示

Soot
Soot IR被称为Jimple - typed 3AC
Loop 3AC
do{}while的3AC如下图所示,不多做赘述

Method Call 3AC
Method Call方法调用的3AC如下图所示,对应foo方法的3AC


这里的 specialinvoke 对应java.lang.StringBuilder的构造方法
$r3.<java.lang.StringBuilder: void <init>()>() 中<>包裹的值即为method signiture
method signiture通常构成形式为 <className: returnType MethodName(Parameter1 type, Parameter2 type, .....)>
搞懂了foo方法,main函数的3AC就很好理解了

Class 3AC

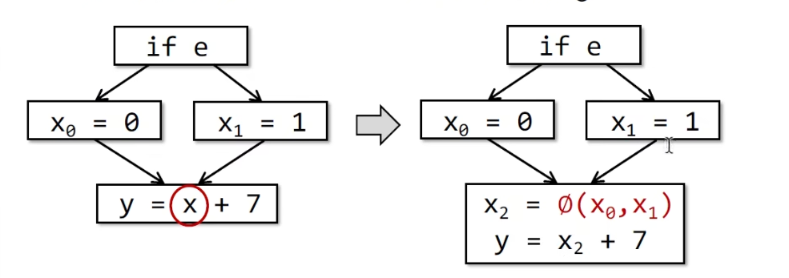
Static Single Assignment - SSA
给每一个定义一个新的name

利用phi-function解决不同的流交汇的问题
对比图一3AC和SSA,可以看出SSA更像是一个数据流,通过p1, p2, p3, q1, q2
Control Flow Analysis
IR三地址码 -> 转换为Control Flow Graph -> 在Control Flow Graph (CFG)的基础上进行静态分析

CFG的Node,可以是单独的三地址码指令,也可以把某些指令集中到一起-构成Basic Block(如图中所示B1, B2, .... B6)
Basic Blocks - BB
Basic Block需要满足两个特征

(1) 只能从块的第一条指令进入
(2) 只能从块的最后一条指令输出
从实际例子分析

为什么 (1),(2) 可以作为一个BB,而(1),(2),(3)不行,因为 (11) 中的goto (3)指令,会导致(1),(2),(3)构成的块同时有两个入口,违背了只允许有一个入口的规则
同理可以分析,为什么(3),(4)可以作为一个BB,而(3),(4),(5)不行,因为(3),(4),(5)构成的块同时有两个出口,违背了只允许有一个出口的原则

根据上述规则,可以得出构建BB的方法

根据上述算法确定所有的Leader,一个Leader后续所有的指令直至下一个Leader中的指令可以构成一个BB


Add edges to build CFG

首先进行替换

加边

加完边后,可以称B1是B2的前驱predecessor,B2是B1的后继successor
通常还要加两个Node,Entry和Exit

自此CFG构建完成